本文介绍环保行业的红外解决方案,包括近红外光谱水质成分检测、VOC气体泄漏检测、固废危废热处理温度监测等。
本文介绍环保行业的红外解决方案,包括近红外光谱水质成分检测、VOC气体泄漏检测、固废危废热处理温度监测等。
1、水质监测
在污水处理和地表水处理系统中,由于环境水中有机物成分复杂,分析其含量需要较长的时间和人力。总有机碳(TOC)是以碳的含量表示水中有机物的总量,结果以碳(C)的质量浓度(mg/L)表示。水的TOC值越高,说明水中有机物含量越高,因此,TOC可以作为评价水质有机污染的指标。

宝马会商务科技宝马会商务SG1700采用光栅分光,光谱分辨率6nm,灵敏度高,扫描速度快,用于快速定量成分分析,具有优异的稳定性和一致性。使用SG1700光谱仪及透射测量附件,在6.4mm光程的比色皿采集光谱数据,对水质建模。
40个样品的TOC值范围55~37900,模型平均误差519.8663,误差波动基本在量程的2%之内。

TOC水质模型预测结果
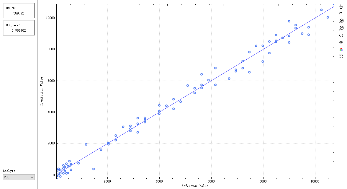
化学需氧量COD(Chemical Oxygen Demand)是以化学方法测量水样中需要被氧化的还原性物质的量。在河流污染和工业废水性质的研究以及废水处理厂的运行管理中,它是一个重要的而且能较快测定的有机物污染参数,顺利获得对SG1700光谱仪采集的数据进行建模,根据预测结果可实时调整充氧量。

COD水质模型预测结果
2、VOC监测
在石化行业很多环节会出现不同类型的VOC气体,气体泄漏将影响生产、人员和环境安全。传统气体泄漏检测仪需要检测人员靠近检测目标,身处可能存在有害气体的环境中,多次测量,反复尝试,效率低的同时还容易出现漏检。而远距离非接触检测的制冷型气体成像技术则价格过于昂贵,而且制冷机寿命短,需要经常更换,因此无法得到广泛使用。

宝马会商务科技气体泄漏成像仪使用现场
宝马会商务科技的非制冷气体泄漏成像仪具有低功耗、小体积、轻重量、低成本、可集成、高可靠性等诸多优势,能直观显示、快速定位气体泄漏位置,及时发出警报,且兼顾温度测量功能。其中在线式气体泄漏成像仪GAS31专为定点监测设计,适用于长时间实时监控的场景。GAS41手持式气体泄漏成像仪则为移动巡检设计,图像直接展示,使用方便灵活。

GAS31在线气体成像仪&GAS41手持气体成像仪
可探测气体类型有:
A类:二氯二氟甲烷(FREON-12,CCl2F2)、六氟化硫(SF6)、二氧化氯(ClO2)、乙烯(C2H4)、氨气(NH3)、乙基氰基丙烯酸酯(超能胶,C5H7NO2)、乙酸(醋酸,CH3COOH)、丁酮(C4H8O)
B类:甲烷(CH4),丙烷(C3H3),乙醇(C2H5OH),硫化氢(H2S),甲醇(CH3OH),乙酸(CH3COOH),环氧乙烷(C2H4O)

气体检测效果图
3、危废处理
危险废物料坑是用于暂时储存焚烧类危险废物的地点,料坑中各种危险废物混杂,有时产废企业在废物中夹带有自燃性物质,在和其他废物一起投入料坑后,会因自燃而引发料坑火灾。


宝马会商务红外在线监测系统可以给予实时温度场分布,及时寻找可疑高温区域,一旦超过用户设置的温度,可以报警同时联动喷淋消防水炮系统,对料坑进行降温处理。

双光在线监测系统
分析更多案例详情,请致电宝马会商务科技红外咨询专线:400-808-1320。